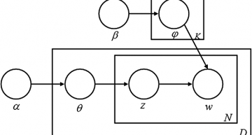
Topic modelling is a natural language processing technique that uncovers hidden themes or topics within large text datasets by analyzing word patterns and grouping similar documents together. Methods like Latent Dirichlet Allocation (LDA) help organize unstructured text, such as articles or social media posts, making it easier to understand. By reading this article, you’ll gain … Continue reading What is Topic Modeling?
Copy and paste this URL into your WordPress site to embed
Copy and paste this code into your site to embed