This could help you in building your first project!
Be it a fresher or an experienced professional in data science, doing voluntary projects always adds to one’s candidature. My sole reason behind writing this article is to get your started with recommendation systems so that you can build one. If you struggle to get open data, write to me in comments.
Recommendation engines are nothing but an automated form of a “shop counter guy”. You ask him for the product. Not only he shows that product, but also the related ones which you could buy. They are well trained in cross selling and up selling. So, does our recommendation engines.
The ability of these engines to recommend personalized content, based on past behavior is incredible. It brings customer delight and gives them a reason to keep returning to the website.
In this post, I will cover the fundamentals of creating a recommendation system using GraphLab in Python. We will get some intuition into how recommendation work and create basic popularity model and a collaborative filtering model.

Project to Build your Recommendation EngineProblem StatementMany online businesses rely on customer reviews and ratings. Explicit feedback is especially important in the entertainment and ecommerce industry where all customer engagements are impacted by these ratings. Netflix relies on such rating data to power its recommendation engine to provide the best movie and TV series recommendations that are personalized and most relevant to the user. This practice problem challenges the participants to predict the ratings for jokes given by the users provided the ratings provided by the same users for another set of jokes. This dataset is taken from the famous jester online Joke Recommender system dataset. |
Before moving forward, I would like to extend my sincere gratitude to the Coursera’s Machine Learning Specialization by University of Washington. This course has been instrumental in my understanding of the concepts and this post is an illustration of my learnings from the same.
Before taking a look at the different types of recommendation engines, lets take a step back and see if we can make some intuitive recommendations. Consider the following cases:
A simple approach could be to recommend the items which are liked by most number of users. This is a blazing fast and dirty approach and thus has a major drawback. The things is, there is no personalization involved with this approach.
Basically the most popular items would be same for each user since popularity is defined on the entire user pool. So everybody will see the same results. It sounds like, ‘a website recommends you to buy microwave just because it’s been liked by other users and doesn’t care if you are even interested in buying or not’.
Surprisingly, such approach still works in places like news portals. Whenever you login to say bbcnews, you’ll see a column of “Popular News” which is subdivided into sections and the most read articles of each sections are displayed. This approach can work in this case because:
We already know lots of classification algorithms. Let’s see how we can use the same technique to make recommendations. Classifiers are parametric solutions so we just need to define some parameters (features) of the user and the item. The outcome can be 1 if the user likes it or 0 otherwise. This might work out in some cases because of following advantages:
But has some major drawbacks as well because of which it is not used much in practice:
Now lets come to the special class of algorithms which are tailor-made for solving the recommendation problem. There are typically two types of algorithms – Content Based and Collaborative Filtering. You should refer to our previous article to get a complete sense of how they work. I’ll give a short recap here.
We will be using the MovieLens dataset for this purpose. It has been collected by the GroupLens Research Project at the University of Minnesota. MovieLens 100K dataset can be downloaded from here. It consists of:
Lets load this data into Python. There are many files in the ml-100k.zip file which we can use. Lets load the three most importance files to get a sense of the data. I also recommend you to read the readme document which gives a lot of information about the difference files.
import pandas as pd
# pass in column names for each CSV and read them using pandas.
# Column names available in the readme file
#Reading users file:
u_cols = ['user_id', 'age', 'sex', 'occupation', 'zip_code']
users = pd.read_csv('ml-100k/u.user', sep='|', names=u_cols,
encoding='latin-1')
#Reading ratings file:
r_cols = ['user_id', 'movie_id', 'rating', 'unix_timestamp']
ratings = pd.read_csv('ml-100k/u.data', sep='\t', names=r_cols,
encoding='latin-1')
#Reading items file:
i_cols = ['movie id', 'movie title' ,'release date','video release date', 'IMDb URL', 'unknown', 'Action', 'Adventure',
'Animation', 'Children\'s', 'Comedy', 'Crime', 'Documentary', 'Drama', 'Fantasy',
'Film-Noir', 'Horror', 'Musical', 'Mystery', 'Romance', 'Sci-Fi', 'Thriller', 'War', 'Western']
items = pd.read_csv('ml-100k/u.item', sep='|', names=i_cols,
encoding='latin-1')
print(users.shape)
print(users.head())
Now lets take a peak into the content of each file to understand them better.
print users.shape users.head()
This reconfirms that there are 943 users and we have 5 features for each namely their unique ID, age, gender, occupation and the zip code they are living in.
print ratings.shape ratings.head()
This confirms that there are 100K ratings for different user and movie combinations. Also notice that each rating has a timestamp associated with it.
print items.shape items.head()
This dataset contains attributes of the 1682 movies. There are 24 columns out of which 19 specify the genre of a particular movie. The last 19 columns are for each genre and a value of 1 denotes movie belongs to that genre and 0 otherwise.
Now we have to divide the ratings data set into test and train data for making models. Luckily GroupLens provides pre-divided data wherein the test data has 10 ratings for each user, i.e. 9430 rows in total. Lets load that:
r_cols = ['user_id', 'movie_id', 'rating', 'unix_timestamp']
ratings_base = pd.read_csv('ml-100k/ua.base', sep='\t', names=r_cols, encoding='latin-1')
ratings_test = pd.read_csv('ml-100k/ua.test', sep='\t', names=r_cols, encoding='latin-1')
ratings_base.shape, ratings_test.shape
Output: ((90570, 4), (9430, 4))
Since we’ll be using GraphLab, lets convert these in SFrames.
import graphlab train_data = graphlab.SFrame(ratings_base) test_data = graphlab.SFrame(ratings_test)
We can use this data for training and testing. Now that we have gathered all the data available. Note that here we have user behaviour as well as attributes of the users and movies. So we can make content based as well as collaborative filtering algorithms.
Lets start with making a popularity based model, i.e. the one where all the users have same recommendation based on the most popular choices. We’ll use the graphlab recommender functions popularity_recommender for this.
We can train a recommendation as:
popularity_model = graphlab.popularity_recommender.create(train_data, user_id='user_id', item_id='movie_id', target='rating')
Arguments:
Lets use this model to make top 5 recommendations for first 5 users and see what comes out:
#Get recommendations for first 5 users and print them #users = range(1,6) specifies user ID of first 5 users #k=5 specifies top 5 recommendations to be given popularity_recomm = popularity_model.recommend(users=range(1,6),k=5) popularity_recomm.print_rows(num_rows=25)
Did you notice something? The recommendations for all users are same – 1500,1201,1189,1122,814 in the same order. This can be verified by checking the movies with highest mean recommendations in our ratings_base data set:
ratings_base.groupby(by='movie_id')['rating'].mean().sort_values(ascending=False).head(20)

This confirms that all the recommended movies have an average rating of 5, i.e. all the users who watched the movie gave a top rating. Thus we can see that our popularity system works as expected. But it is good enough? We’ll analyze it in detail later.
Lets start by understanding the basics of a collaborative filtering algorithm. The core idea works in 2 steps:
To give you a high level overview, this is done by making an item-item matrix in which we keep a record of the pair of items which were rated together.
In this case, an item is a movie. Once we have the matrix, we use it to determine the best recommendations for a user based on the movies he has already rated. Note that there a few more things to take care in actual implementation which would require deeper mathematical introspection, which I’ll skip for now.
I would just like to mention that there are 3 types of item similarity metrics supported by graphlab. These are:
Lets create a model based on item similarity as follow:
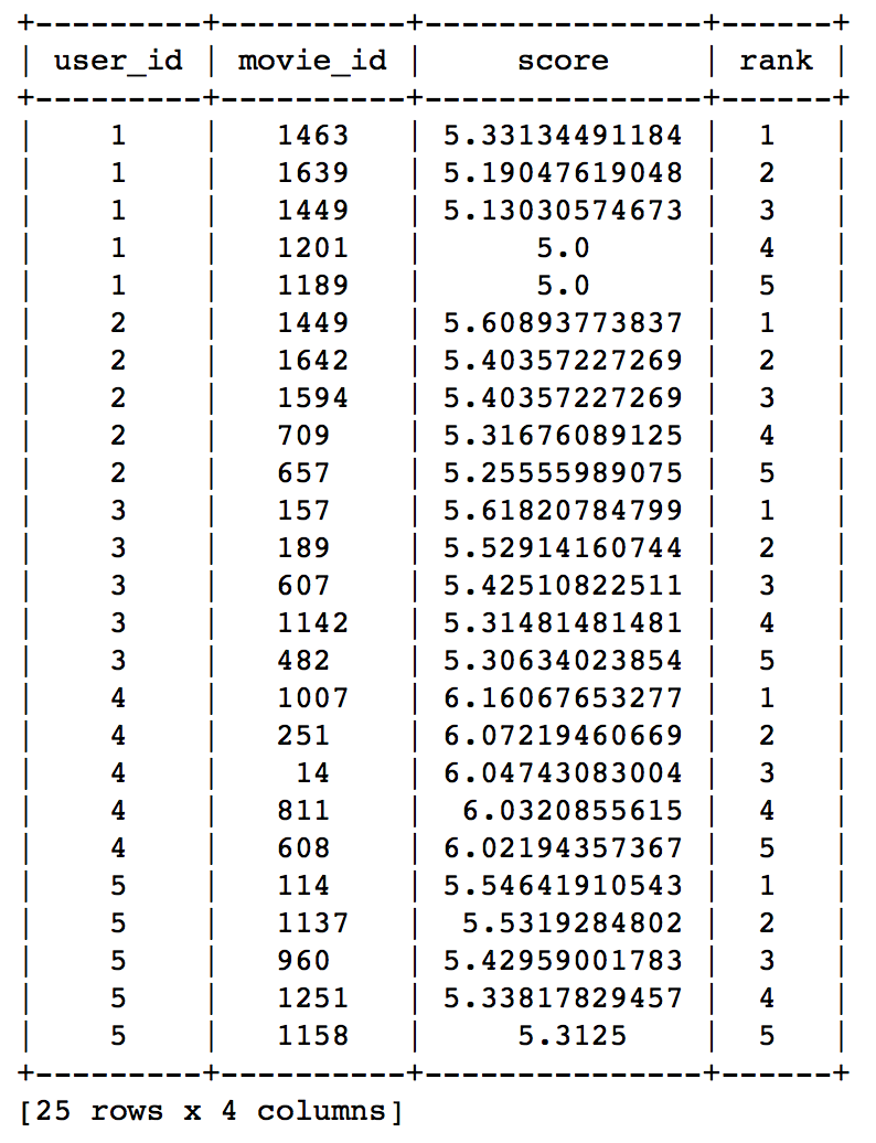
#Train Model item_sim_model = graphlab.item_similarity_recommender.create(train_data, user_id='user_id', item_id='movie_id', target='rating', similarity_type='pearson') #Make Recommendations: item_sim_recomm = item_sim_model.recommend(users=range(1,6),k=5) item_sim_recomm.print_rows(num_rows=25)
Here we can see that the recommendations are different for each user. So, personalization exists. But how good is this model? We need some means of evaluating a recommendation engine. Lets focus on that in the next section.
For evaluating recommendation engines, we can use the concept of precision-recall. You must be familiar with this in terms of classification and the idea is very similar. Let me define them in terms of recommendations.
Now if we think about recall, how can we maximize it? If we simply recommend all the items, they will definitely cover the items which the user likes. So we have 100% recall! But think about precision for a second. If we recommend say 1000 items and user like only say 10 of them then precision is 0.1%. This is really low. Our aim is to maximize both precision and recall.
An idea recommender system is the one which only recommends the items which user likes. So in this case precision=recall=1. This is an optimal recommender and we should try and get as close as possible.
Lets compare both the models we have built till now based on precision-recall characteristics:
model_performance = graphlab.compare(test_data, [popularity_model, item_sim_model]) graphlab.show_comparison(model_performance,[popularity_model, item_sim_model])
Here we can make 2 very quick observations:
Now let us learn to build a recommendation engine in R
Step 1: Importing the data files
Step 2: Validating the imported data files
Output
#Validating user files [1] 943 5 user_id age sex occupation zip_code 1 1 24 M technician 85711 2 2 53 F other 94043 3 3 23 M writer 32067 4 4 24 M technician 43537 5 5 33 F other 15213 6 6 42 M executive 98101
#Validating ratings files [1] 100000 4 user_id movie_id rating unix_timestamp 1 196 242 3 881250949 2 186 302 3 891717742 3 22 377 1 878887116 4 244 51 2 880606923 5 166 346 1 886397596 6 298 474 4 884182806
#Validating items files [1] 1682 24

Step 3: Loading the train and test dataset
Step 4: Validating the test and train dataset
Output
#Validating train files [1] 90570 4 user_id movie_id rating unix_timestamp 1 1 1 5 874965758 2 1 2 3 876893171 3 1 3 4 878542960 4 1 4 3 876893119 5 1 5 3 889751712 6 1 6 5 887431973
#Validating test files [1] 9430 4 user_id movie_id rating unix_timestamp 1 1 20 4 887431883 2 1 33 4 878542699 3 1 61 4 878542420 4 1 117 3 874965739 5 1 155 2 878542201 6 1 160 4 875072547
Step 5 Building a simple Popularity Model
The movies with the highest mean recommendations in our data_train data set:
Output
movie_id rating 814 5.000000 1122 5.000000 1189 5.000000 1201 5.000000 1293 5.000000 1467 5.000000 1500 5.000000 1536 5.000000 1599 5.000000 1656 5.000000 1449 4.714286 1398 4.500000 1463 4.500000 1594 4.500000 1642 4.500000 114 4.491525 408 4.480769 169 4.476636 318 4.475836 483 4.459821
All the recommended movies have an average rating of 5, i.e. all the users who watched the movie gave a top rating. Thus we can see that our popularity system works as expected.
Step 6 Building a collaborating filtering model
Let’s create a model based on item similarity as follow:
model1 Recommender of type ‘IBCF’ for ‘binaryRatingMatrix’ learned using 90570 users. predicted1 Recommendations as ‘topNList’ with n = 10 for 9430 users. head(reccom_list,25) user_id rating movie_id 1 0.5085274 10 1 0.5000725 5 1 0.5035601 3 1 0.5051816 3 1 0.5121527 4 1 0.5000000 8 1 0.5009827 2 1 0.5035601 12 2 0.5036726 3 2 0.5000000 3 2 0.5017065 2 2 0.5019525 5 2 0.5060604 11 2 0.5000000 12 2 0.5002561 7 2 0.5016215 8 3 0.5014799 5 3 0.5124669 4 3 0.5014799 5 3 0.5009827 9 3 0.5052220 1 3 0.5060604 11 3 0.5000000 6 3 0.5009737 1 4 0.5014341 6
Here we can see that the recommendations are different for each user. So, personalization exists. But how good is this model? We need some means of evaluating a recommendation engine. Let’s focus on that in the next section.
Step 7 – Evaluating Recommendation Engines
Let’s compare both the models we have built till now based on precision-recall characteristics:
Observations
There is a big scope of improvement here. But I leave it up to you to figure out how to improve this further. I would like to give a couple of tips:
In the end, I would like to mention that along with GraphLab, you can also use some other open source python packages like the following:
Now, its time to take the plunge and actually play with some other real datasets. So are you ready to take on the challenge? Accelerate your journey and use recommendation engines to solve these Practice Problems:
| Online Challenge: Build A Recommendation Engine | Recommend the next items customers are most likely to buy | |
| Practice Problem: Recommendation Engine | Predict range of attempts a user will make to solve a given problem | |
| Practice Problem: Is this joke funny? | Predict the rating given by users to different jokes |
In this article, we traversed through the process of making a basic recommendation engine in Python using GrpahLab. We started by understanding the fundamentals of recommendations. Then we went on to load the MovieLens 100K data set for the purpose of experimentation.
Subsequently we made a first model as a simple popularity model in which the most popular movies were recommended for each user. Since this lacked personalization, we made another model based on collaborative filtering and observed the impact of personalization.
Finally, we discussed precision-recall as evaluation metrics for recommendation systems and on comparison found the collaborative filtering model to be more than 10x better than the popularity model.
Did you like reading this article ? Do share your experience / suggestions in the comments section below.
I am completly new to the field of data science. I have started courses of Machine Learning. Can you please suggest me how to proceed or should I consider some other options. I plan to proceed further in the field of AI. Please suggest how should i carry on or begin my journey. ?
Thanks for reaching out. I'm sorry but there is no fixed answer to your question and this thread is probably not the right place to answer. I recommend reading similar discussions on http://discuss.analyticsvidhya.com and you can start a new thread as well. You can also check out the learning paths on our website if you're interested in a particular tool. Hope this helps.
In this blog, data is already divided into train and test. But ,how to divide data into Train and Test? On what basis to make this decision?
Good article , very educative
Thanks you!
Thanks for sharing such an Amazing article, can I please have in pdf.
Thanks Hulisani! Unfortunately, we don't have proper pdf formats. Generally what I do is print the page and save it as a pdf. I won't look that good but mostly works.